


切削速度 (vc)(m/min)
主轴转速 (n)(rpm)


每齿进给量 (fz)(mm)
金属去除率 (Q)(cm³/min)


工作台进给或进给速度 (vf)(mm/min)
扭矩 (Mc)(Nm)

净功率要求 (Pc) (kW)

平均切屑厚度 (hm)。用于直切削刃。

侧铣(mm)

面铣(mm)
在将工件中央对准铣刀放置时。
注意: arccos和arcsin用度表示

特定切削力 (kc) (N/mm²)
如果γ0未知,使用γ0= 0°,则公式变为:

特定铣刀公式
具有直切削刃的刀具



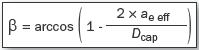
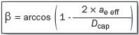
在特定深度的最大切削直径(mm)。

面铣 (对中工件) 直切削刃
和侧铣 (ae >Dcap/2) mm。

侧铣 (ae >Dcap/2) 直切削刃,mm。
使用圆刀片的刀具



在特定深度的最大切削直径(mm)。

面铣圆刀片 (ae >Dcap/2)mm。

侧铣 (ae >Dcap/2) 和圆刀片 (ap<iC/2) mm。
球头立铣刀



在特定深度的最大切削直径(mm)。

每齿进给量 (mm/齿),刀具对中。

每齿进给量 (mm/齿),侧铣。内圆坡走铣 (3轴) 或圆弧铣 (2轴)

计算公式

周边进给率(mm/min)

刀具中心进给率(mm/min)

径向切深(mm)
对于实体式工件, Dw = 0和 ae eff = Dm/2

每齿进给量(mm)
当扩孔时

每齿进给量(mm)



外圆坡走铣 (3轴) 或圆弧铣 (2轴)

计算公式

周边进给率(mm/min)

刀具中心进给率(mm/min)

每齿进给量(mm)



铣刀
主偏角 – kr (度)
主切削刃角 (kr) 是影响切削力方向和切屑厚度的主要因素。

刀具直径 – Dc (mm)
刀具直径 (Dc)在PK部位上测量,主切削刃在这里与平行刃带相遇。
Dc 是在大多数情况下出现在订货号的直径,但CoroMill 300除外,它使用D3 。
要考虑的最重要直径是(Dcap) – 在实际切削深度 (ap) 处的有效切削直径 – 用于计算实际切削速度 (ve)。
D3 是刀片的最大直径,对于某些刀具,它等于Dc。

切削深度 – ap (mm)
切削深度 (ap) 是指未切孔半径与已切孔半径的差值。最大ap主要受到刀片尺寸和机床功率限制。
粗加工工序的另一个关键因素是扭矩,在精加工工序中为振动。


切削宽度 – ae (mm)
刀具吃刀时的径向宽度 (ae)。在插铣步距宽度中特别关键,并且对于圆角铣削中的振动,最大ae 特别关键。 径向切深 – ae / Dc
径向切深 (ae / Dc)是相对刀具直径的切削宽度。 刀具有效切削刃数量 – zc
用于确定工作台进给 (vf)和生产效率。通常对排屑和工序稳定性具有关键影响。 刀具切削刃总数 – zn

齿距 – u (mm)
有效切削刃之间的距离 (u)。
对于特定的山特维克可乐满刀具直径,您可以在不同齿距之间选择:疏齿 (-L)、密齿 (-M)、超密齿 (- H)。添加至代码的X指示齿距比其基本设计稍小的刀具类型。

不等距齿距
表示刀具上齿之间的不均匀间距。这是减小振动趋势的极有效方法。

刀片
刀片槽形

经过对切削刃槽形的较深入地研究,发现刀片上有两个重要的角度:
- 前角 (γ)
- 切削刃角 (β)
宏观槽形开发用于轻载、中等载荷或重载加工。
- L (轻载) 槽形具有较大的正前角,但是切削刃刚性较差 (大γ,小β)
- H (重载) 槽形具有强度较高的切削刃,但正前角较小 (小γ,大β)
宏观槽形影响切削过程中的许多参数。具有高强度切削刃的刀片可以在较高负荷下工作,但是也会产生较大的切削力、消耗较多的功率和产生较多的热量。
材料优化槽形通过ISO分类字母命名。例如,用于铸铁的槽形:KL、KM、KH。 刀尖设计对于加工表面的切削刃来说,最重要的部分是平行刃带bs1或凸
起的修光刃刃带 (当适用时)bs2,或圆角半径rε。

铣削过程
切削速度 – vc (m/min)
它指示直径处的表面速度并构成计算切削参数的基本值。
有效的或实际切削速度
指示有效直径 (Dcap)。
该值对于确定实际切削深度 (ap)处的实际切削参数是必要的。当使用圆角刀片铣刀、球头立铣刀、所有较大圆角半径的刀具以及主偏角小于90度的刀具时,这是一个
特别重要的数值。

主轴转速 – n (rpm)
主轴上铣削刀具每分钟转数。这是面向机床的数值,它由工序的推荐切削速度值计算而来。
每齿进给量 – fz (mm/Z)
用于计算切削参数 (如工作台进给) 的基本值。计算时也考虑最大切屑厚度 (hex)和主偏角。

每转进给 – fn (mm/r)
指示旋转一周刀具移动的距离的辅助数值。
专门用于进给计算并常用于确定刀具的精加工能力。
每分钟进给 – vƒ (mm/min)
工作台进给、机床进给或以mm/min表示的进给速度。它代表刀具相对工件的运动,取决于每齿进给 (fz)和刀具齿数 (zn)。 最大切屑厚度 – hex (mm),该值反应刀具吃刀量,它与 (fz)、(ae)和 (kr)。
当确定每齿进给时要重点考虑切屑厚度,以确保采用高生产率的工作台进给。
平均切屑厚度 – hm (mm)
确定净功率计算时所需特定切削力的有用数值。

金属去除率 – Q (cm³/min)
去除的金属量,以每小时立方毫米为单位计算。通过切削深度、宽度和进给数值来确
定。
特定切削力 – kct (N/mm²)
用于功率计算的一个因素。当以特定切屑厚度值切削时,特定切削力与材料阻力有关。更多信息,参见第H章“材料”。 功率Pc和效率ηmt面向机床的数值,用于辅助计算净功率,以确保机床能够应对刀具和工序。

加工时间 – Tc (min)
加工长度 (lm)除以工作台进给 (vf)。
铣削生产效率
当铣削生产效率用金属去除率Q (cm³/min) 定义时,可以用许多方法对其进行优化。
根据应用选择正确的刀具无疑是重要的,而选择切削参数也同样关键。
下列七个示例说明如何将切削参数升至正常推荐值以上,以实现较高的生产效率:

1. 面铣 – 高切削速度vc
加工铝合金和有时加工铸铁时,在使用CBN或陶瓷刀片,可以使用超过1000 m/min的切削速度,这带来极高的工作台进给,vf。 这种类型的加工也可以称为高速加工 (HSM)。
2. 周边铣削 – 高切削速度vc和进给fz
当刀具采用小径向切深ae时,每转的切削时间短,从而切削刃温度降低。这意味着切削速度可以升高至超过正常推荐
值。还可以增加进给fz,因为最大切屑厚度hex将降低。进给将受到表面质量要求的限制。
3. 仿形铣削 – 高主轴转速n
该铣削技术常被称为高速加工 (HSM) ,其典型应用为使用球头立铣刀进行的精加工或超级精加工仿形切削工序。 4. 端面铣削,使用小主偏角和高进给fz,当ap小时,由于薄切屑效应,使用极小主偏角的刀具能够显著增加进给fz。 5. 重载铣削 – 大切深 – 重载在重载应用中,使用带有大尺寸刀片的大直径刀具。切削速 度正常,但是ap 和fz高,结合大ae,使生产效率非常高。
6. 使用Wiper (修光刃) 刀片进行精加工在使用大的面铣刀进行精加工工序,通常必须保持低进给fz。然而,通过在刀具中使用Wiper (修光刃) 刀片,可以将进给增加2–3倍,而不会牺牲表面质量。
7. 面 铣削 – 超密齿刀具
在铣削灰口铸铁之类的短切屑材料时,可以使用具有超密齿距的面铣刀,从而实现高工作台进给。另外,在切削速度一
般较低的HRSA材料加工中,使用超密齿距也能实现高工作台进给。 “轻快”技术: 方法2、3和4基于小切削深度ae和/或ap,产生的切削力和热量低,这样就可以增加速度和/或进给。
1;所有标注为智造资料网zl.fbzzw.cn的内容均为本站所有,版权均属本站所有,若您需要引用、转载,必须注明来源及原文链接即可,如涉及大面积转载,请来信告知,获取《授权协议》。
2;本网站图片,文字之类版权申明,因为网站可以由注册用户自行上传图片或文字,本网站无法鉴别所上传图片或文字的知识版权,如果侵犯,请及时通知我们,本网站将在第一时间及时删除,相关侵权责任均由相应上传用户自行承担。
[complaint:内容投诉]
智造资料网打造智能制造3D图纸下载,在线视频,软件下载,在线问答综合平台 » 铣削定义和公式(图文教程)

