数字增量的插补原理(图文教程)

在数字增量插补这类算法中,插补周期时一个重要的参数。

一、插补周期的选择
1. 插补周期与精度速度的关系

直线插补没有逼近误差。

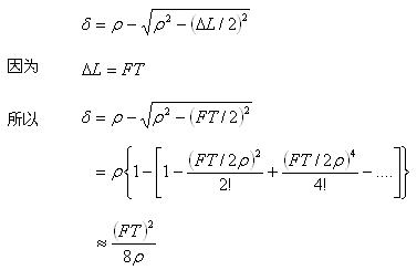
在插补曲线时,当用内接弦线逼近时,插补误差δ、插补周期T、进给速度F以及曲线的曲率半径之间的关系为:

数字增量的插补原理(图文教程),数字增量的插补原理,教程,第1张

由此可知,插补周期T与进给速度F、逼近误差δ、曲率半径ρ有关。

当F、ρ一定时,T越小,δ越小;

当δ、ρ一定时,T越小,F越大;

因此,T越小越好。但T的选择受插补运算时间和位置控制周期的限制。

实际系统,T是固定的,ρ是轨迹所要求的,这时要满足误差要求,就必须限制F的取值。

2. 插补周期与插补运算时间的关系

系统个各线形的插补算法设计完毕,那么,系统插补运算的最长时间就确定了。插补周期必须大于插补运算的最长时间。对分时共享的CNC,插补周期一般应为最长插补运算时间的两倍以上。

3. 插补周期与位置控制周期的关系

插补周期要么与位置控制周期相等,要么是位置控制周期的整数倍。

二、直线插补算法
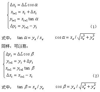
为了简化程序的设计,将插补计算的坐标系的原点选在被插补直线的起点。

设直线OP,O(0,0)为起点。P(Xe,Ye)为终点,进给速度F,沿OP进给,插补周期为T,则在T内的合成进给量ΔL为:

ΔL=FT/60 (um)

设P(Xi,Yi)为某一插补点,P(Xi+ 1,Yi+1)为下一插补点,则由几何关系可知:

数字增量的插补原理(图文教程),数字增量的插补原理,教程,第2张

上述两式,那一个较优,可作如下分析:

数字增量的插补原理(图文教程),数字增量的插补原理,教程,第3张

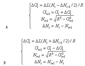
数字增量的插补原理(图文教程),数字增量的插补原理,教程,第4张时,应采用算法(1),当 数字增量的插补原理(图文教程),数字增量的插补原理,教程,第5张时,应采用算法(2)。即,在插补计算时,总是先计算大的坐标增量,后计算小的坐标增量。考虑不同的象限,插补计算公式将有8组,为了方便程序设计,引入引导坐标的概念,即在插补周期内,将进给增量值较大的坐标定义为引导坐标G,另一个为非引导坐标N。引入引导坐标后可将8组插补计算公式归结为一组

数字增量的插补原理(图文教程),数字增量的插补原理,教程,第6张

三、圆弧插补算法
采用时间分割插补进行圆弧插补的基本方法是内接弦线逼近圆弧。只要根据半径合理选用进给速度F,可使逼近精度满足要求。

将插补计算坐标系的原点选在被插补圆弧的圆心上,以第一象限顺圆为例,讨论圆弧插补原理。

P(Xi,Yi)为圆上某一插补点A,P(Xi+1,Y i+1)为下一插补C,直线段AC(=ΔL)为本次的合成进给量,D为AC的中点,为本次插补的逼近误差δ。由几何关系可得:

ΔABC∽ΔODym

那么有 γi=α+Δαi/2

则有 cosγi =cos(α+Δαi/2)=ym/(R-δ)=(yi-Δyi /2)/(R-δ)

由于Δyi和δ未知,故进行如下近似处理:

由于ΔL很小,可用Δi-1替代Δyi;由于R>>δ,可用R替代R-δ。因此有:

cosγi =(yi-Δyi-1 /2)/R 起点的Δy0采用DDA法求得:Δy0=ΔL y0/R。



数字增量的插补原理(图文教程),数字增量的插补原理,教程,第7张

算法(1)和(2)如何用,可作与直线插补类似的分析,结论为:先计算大的坐标增量,后计算小的坐标增量。

同样,引入引导坐标的概念,可将考虑顺逆和不同象限的16组插补计算公式归结为两组:

数字增量的插补原理(图文教程),数字增量的插补原理,教程,第8张

顺圆插补和逆圆插补在各象限采用公式的情况。

在插补公式的推导中,采用了近似计算,cosγi值必然产生偏差,求得的插补值会有误差,这个误差:对轨迹精度来说,由于算法中采用公式 数字增量的插补原理(图文教程),数字增量的插补原理,教程,第9张,插补点( 数字增量的插补原理(图文教程),数字增量的插补原理,教程,第10张)总可以保证在圆上,故对轨迹精度没有影响。

会导致合成进给量的波动,引起速度不均匀;对逼近误差有影响,当实际γi小于准确γi时,逼近误差比给定的大。但波动的不均匀系数最大:λmax<0.35%,影响是很小的。

免责声明:
1;所有标注为智造资料网zl.fbzzw.cn的内容均为本站所有,版权均属本站所有,若您需要引用、转载,必须注明来源及原文链接即可,如涉及大面积转载,请来信告知,获取《授权协议》。
2;本网站图片,文字之类版权申明,因为网站可以由注册用户自行上传图片或文字,本网站无法鉴别所上传图片或文字的知识版权,如果侵犯,请及时通知我们,本网站将在第一时间及时删除,相关侵权责任均由相应上传用户自行承担。
[complaint:内容投诉]
智造资料网打造智能制造3D图纸下载,在线视频,软件下载,在线问答综合平台 » 数字增量的插补原理(图文教程)